Seite 242 von 407
Re: Kurze Frage, kurze Antwort
Verfasst: Sonntag 21. Juni 2020, 21:49
von Bierokrat
Braufex hat geschrieben: Sonntag 21. Juni 2020, 18:32
Das ist ein Restdruckventil (engl.: RPV). ...
Gruß Erwin
Super!
Besten Dank für die Erklärungen!
Bei Gas unter hohem Druck bin ich lieber Mal etwas vorsichtiger und frag zuvor Mal.
LG, Bernd.
Re: Kurze Frage, kurze Antwort
Verfasst: Sonntag 28. Juni 2020, 08:35
von Chains
Ich habe momentan ein Verständnisproblem im Bezug auf Malzrohrsysteme und hoffe ihr könnt mich erhellen.
Ich braue auf einer klassischen zwei Kessel Anlage (Maisch- und Braukessel kombiniert und ein Läuterbottich), bin damit recht zufrieden und habe letzte Woche mein System noch um ein Rührwerk ergänzt. (SHA zwischen 62% und 65% vor dem Rührwerk) Vom Rührwerk hatte ich mir einen großen Sprung in der SHA erhofft, jedoch kam ich gestern lediglich auf 62%. (Kann auch an der Schüttung gelegen haben 70%Pale Ale, 15% Haferflocken, 10% Münchner Malz, 5% Weizenmalz (hell))
Ein Brautag bei 35l Ausschlag dauert bei mir so ca 5-7h.
Nun zu meinem Problem/meiner Frage:
Ich habe gelesen das Malzrohrsysteme im Schnitt auch zwischen 50-60% SHA schaffen, man jedoch den Zeitlichen Aufwand drastisch reduzieren kann. Der markanteste Nachteil den ich persönlich aber erkenne ist, dass man beim Läutern/Nachgussaufbringen jedoch keine klare Würze erhält. Welche Nachteile hat es, wenn noch Schwebstoffe in der Würze sind? Ich habe mal gelernt, dass es zu einem Bittern vom Bier kommen kann.
Welche anderen Nachteile hat ein Malzrohrsystem im Bezug auf meine Zwei Kessel Anlage?
Gruß
Re: Kurze Frage, kurze Antwort
Verfasst: Sonntag 28. Juni 2020, 09:06
von DerDerDasBierBraut
Chains hat geschrieben: Sonntag 28. Juni 2020, 08:35
Ich habe momentan ein Verständnisproblem im Bezug auf Malzrohrsysteme und hoffe ihr könnt mich erhellen.
Ich braue auf einer klassischen zwei Kessel Anlage (Maisch- und Braukessel kombiniert und ein Läuterbottich), bin damit recht zufrieden und habe letzte Woche mein System noch um ein Rührwerk ergänzt. (SHA zwischen 62% und 65% vor dem Rührwerk) Vom Rührwerk hatte ich mir einen großen Sprung in der SHA erhofft, jedoch kam ich gestern lediglich auf 62%. (Kann auch an der Schüttung gelegen haben 70%Pale Ale, 15% Haferflocken, 10% Münchner Malz, 5% Weizenmalz (hell))
Ein Brautag bei 35l Ausschlag dauert bei mir so ca 5-7h.
Nun zu meinem Problem/meiner Frage:
Ich habe gelesen das Malzrohrsysteme im Schnitt auch zwischen 50-60% SHA schaffen, man jedoch den Zeitlichen Aufwand drastisch reduzieren kann. Der markanteste Nachteil den ich persönlich aber erkenne ist, dass man beim Läutern/Nachgussaufbringen jedoch keine klare Würze erhält. Welche Nachteile hat es, wenn noch Schwebstoffe in der Würze sind? Ich habe mal gelernt, dass es zu einem Bittern vom Bier kommen kann.
Welche anderen Nachteile hat ein Malzrohrsystem im Bezug auf meine Zwei Kessel Anlage?
Gruß
Ich bin vom BM 50 weg, hin zu Induktionsplatten und Töpfen. Den BM 10 habe ich noch.
Darüber hinaus kenne ich den Mundschenk, der hier auch kurzzeitig im Einsatz war.
Meine Beweggründe von Malzrohr wegzugehen waren:
- man spart mit dem Malzrohr nicht wirklich Zeit, gegenüber 2 Töpfen und 2 Induktionsplatten
- Töpfe waschen sich wesentlich leichter ab, als Malzrohrsysteme mit Elektrik und Pumpen
- man ist sehr flexibel in Bezug auf Schüttungsverhältnis, Hauptguss Menge, Sudgrößen allgemein (ggf. mit weiterem Topf)
- die STW für einen Doppelbock im Topf zu erreichen ist ein Kinderspiel, beim BM werden die Böcke schon zu dünn
- STW halbwegs genau treffen ist im BM eher Glückssache
- miese SHA
- mit Töpfen bleibt die Küche sauberer, da kein Geklecker beim Malzrohr ziehen etc.
- mit Töpfen kann man 70 Liter Sude ohne Flaschenzug läutern
Der Mundschenk konnte super klare Würze nach Läutern und nach Kochen.
Der BM hat nach Läutern eher trübe Brühe. Nach Kochen ist es OK.
Re: Kurze Frage, kurze Antwort
Verfasst: Sonntag 28. Juni 2020, 12:05
von Michael Wendt
Chains hat geschrieben: Sonntag 28. Juni 2020, 08:35
Der markanteste Nachteil den ich persönlich aber erkenne ist, dass man beim Läutern/Nachgussaufbringen jedoch keine klare Würze erhält. Welche Nachteile hat es, wenn noch Schwebstoffe in der Würze sind? Ich habe mal gelernt, dass es zu einem Bittern vom Bier kommen kann.
Welche anderen Nachteile hat ein Malzrohrsystem im Bezug auf meine Zwei Kessel Anlage?
Gruß
Im Grainfather habe ich durchaus klare Würze bekommen. Und weil hier viele ambitionierte Hobbybrauer einen zu verwenden scheinen, kann das massive Plätschern beim Läutern auch kein großes Problem sein.
Ich kann ansonsten der Aufzählung von Jens voll zustimmen. Am meisten gestört hat mich beim Grainfather das Einmaischen, das mit Topf und Rührwerk um Längen einfacher ist. Und man kann einen Automaten, anders als Töpfe, nicht in den Geschirrspüler stellen - das relativiert den Zeitvorteil erheblich. Deshalb ist ein Malzrohrsystem aber noch lange nicht schlecht. Kommt halt auf die Prioritäten an.
Die meiste Zeit kann man m. E. mit reinen Vorderwürzebieren sparen.
Viele Grüße
Michael
Re: Kurze Frage, kurze Antwort
Verfasst: Sonntag 28. Juni 2020, 13:00
von t3k
Chains hat geschrieben: Sonntag 28. Juni 2020, 08:35
Ich braue auf einer klassischen zwei Kessel Anlage (Maisch- und Braukessel kombiniert und ein Läuterbottich), bin damit recht zufrieden ....
Ein Brautag bei 35l Ausschlag dauert bei mir so ca 5-7h. Gruß
Moin Chains,
Ich gehe mal davon aus, das du eine Einkocher als Braukessel/Maischebotich verwendest, oder ? Den kannst nicht in die Spühlmaschiene stellen und bei einem Ausschlag von 35L müsste dein Pot auch so um die 50 L fassen ... der geht ebenfalls nicht in die spühlmachine.
Ich denke es kommt immer auf die Gegebenheiten bei dir vor Ort an und was du hauptsächlich brauen willst.
Malzrohrsysteme grundsätzlich abzulehnen ist denke ich nicht ganz richtig. Und die SHA spielt bei den Hobbybrauer-Mengen nicht wirklich eine entscheidende Rolle.
Bei mir sieht es so aus, ich muss in der Wohnung brauen, alles ist etwas eng und es gibt immer wieder Konkurrenzsituation in der Küche mit meiner Frau
Ich hab eine 35L Anlage mit Induktionsplatte, Termoport 38L und Kessel 56L von SSBrewtech kombiniert mit dem Conical von SSBrewtech ... das setup it toll, ABER ... alles von Hand reinigen und wieder verstauen dauert seine Zeit und das handling ist an der Grenze von küchentauglich

... hätte ich einen Braukeller sähe das alles wieder ganz anders aus.
Dazu hab ich noch einen BM10 + BrewBucket Mini von SSbretech ... der BM10 reinigt sich selbst bei 60Grad mit enymbrew und alles andere geht in die Spühlmachine.
Zudem hat der
BM10 (neue Sw vorausgesetzt) eine programmierbare Zeitvorwahl. Das ist für mich die größte Zeit-Ersparnis. Ich lege am Abend vorher das Wasser vor und stelle die Uhr. Der BM heizt ab 6 selbstständig auf und weckt mich zum einmaischen. Malz rein .. Brötchen in den Ofen ... frühstücken.
Start Hopfenkochen ... bis 11:30 bin ich mit allem incl. putzen (Spühlmachine) durch. Kein Stress mit meiner Frau und keinen Stress mit dem putzen.
Meine Biere werden, klar und ich hab eine recht konstante SHA von 62%.
Den BM10 nutze ich sehr häufig, die 35L Anlage nur wenn etwas ansteht :)
Cheers
T3K
Edit: wollte noch sagen. Michael hat recht. Wenn es geht braue ich auch fast nur Vorderwürze Biere, das erreiche ich über ein hohes Wasser zu Malz Verhältnis. Das hat zudem den Vorteil das der BM immer Rand voll ist und nichts plätschert (Sauerstoffeintrag).
Re: Kurze Frage, kurze Antwort
Verfasst: Sonntag 28. Juni 2020, 13:49
von bierfaristo
t3k hat geschrieben: Sonntag 28. Juni 2020, 13:00
Moin Chains,
Ich gehe mal davon aus, das du eine Einkocher als Braukessel/Maischebotich verwendest, oder ? Den kannst nicht in die Spühlmaschiene stellen und bei einem Ausschlag von 35L müsste dein Pot auch so um die 50 L fassen ... der geht ebenfalls nicht in die spühlmachine.
...
Mein 20gal Topf geht immer in die (handelsübliche) Spülmaschine. Oberen Körbe raus und dann passt es bei mir.
Re: Kurze Frage, kurze Antwort
Verfasst: Sonntag 28. Juni 2020, 15:36
von Kristoffer
Hat schonmal jemand von euch die Irish Ale von Wyeast über die empfholenen 22 Grad vergoren und kann mir sagen obs da Probleme gibt. Bei meinem Stout ( 10% Röstmalz) bin ich im Moment bei 23 Grad.
Re: Kurze Frage, kurze Antwort
Verfasst: Dienstag 30. Juni 2020, 15:25
von DerWelcherDurstHat
Unter welchem Suchbegriff finde ich diese Behälter mit einem trichterförmigen Boden mit Ablassventil (um Hefe zu ernten)? Idealerweise in "leicht zu desinfizieren" :-)
Re: Kurze Frage, kurze Antwort
Verfasst: Dienstag 30. Juni 2020, 16:11
von Patrick1988
Unter welchem Suchbegriff finde ich diese Behälter mit einem trichterförmigen Boden mit Ablassventil (um Hefe zu ernten)? Idealerweise in "leicht zu desinfizieren" :-)
Meinst du konische Gährtanks?

Re: Kurze Frage, kurze Antwort
Verfasst: Dienstag 30. Juni 2020, 16:12
von bwanapombe
Meinst Du Gärbehälter? Zylindrokonische Gärbehälter (ZKG).
Dirk
Re: Kurze Frage, kurze Antwort
Verfasst: Dienstag 30. Juni 2020, 16:14
von Patrick1988
Hat schonmal jemand von euch die Irish Ale von Wyeast über die empfholenen 22 Grad vergoren und kann mir sagen obs da Probleme gibt. Bei meinem Stout ( 10% Röstmalz) bin ich im Moment bei 23 Grad.
Einmal benutzt in den letzten Wochen. Hat bei 24°C "alles" vergoren. Hatte mir auch Sorgen gemacht - war aber alles okay. Nach zwei/drei Tagen hat die Hefe irgendwie mal kurz "abgestottert".

Re: Kurze Frage, kurze Antwort
Verfasst: Dienstag 30. Juni 2020, 17:54
von DerWelcherDurstHat
VolT Bräu hat geschrieben: Sonntag 21. Juni 2020, 19:40
Braufex hat geschrieben: Sonntag 21. Juni 2020, 18:32
Es ist eh nicht so leicht, eine Flasche ganz voll zu bekommen. Ich leg meine zu füllenden Flaschen vorher in die Gefriertruhe, damit erreiche ich einen Füllgrad von ca. 75%.
Komisch. Ich friere meine auch kurz ein und komme damit direkt im ersten Anlauf auf um die 100%.
Bei mir ist es eine umgedrehte 6kg Flasche mit Adapter ohne Schlauch. Keine Ahnung, ob es am Setup liegt oder an den Flaschen?
Nimmt das Ventil denn keinen Schaden wenn es eingefroren wird? Da habe ich noch Bedenken.
Bei der vorletzten Befüllung hat mir der Befüller eine Standpauke abgehalten, weil die Flasche zu warm war..
Bei der letzten Befüllung hatte ich die Flasche (2kg) über Nacht auf 8°C im normalen Kühlschrank. Habe mich nicht egtrat, tiefer zu gehen. Ergebnis: 7kg abzüglich 4.5kg Tara. Also 2.5kg in der 2kg-Flasche.
Re: Kurze Frage, kurze Antwort
Verfasst: Dienstag 30. Juni 2020, 18:06
von DerWelcherDurstHat
bwanapombe hat geschrieben: Dienstag 30. Juni 2020, 16:12
Meinst Du Gärbehälter? Zylindrokonische Gärbehälter (ZKG).
"Konisch" war das Stichwort. Danke!
Leider scheint es diese Dinger nur in "gross" zu geben. Da soll eigentlich nur die Hefe rein nach dem Abfüllen. Also im niedrigen einstelligen Liter-Bereich. Und idealerweise aus Glas, damit man die Schichten (Hopfenreste/Hefe/Restbier) gut erkennen kann.
Hat jemand einen Tipp?
Re: Kurze Frage, kurze Antwort
Verfasst: Dienstag 30. Juni 2020, 18:41
von VolT Bräu
DerWelcherDurstHat hat geschrieben: Dienstag 30. Juni 2020, 17:54
VolT Bräu hat geschrieben: Sonntag 21. Juni 2020, 19:40
Braufex hat geschrieben: Sonntag 21. Juni 2020, 18:32
Es ist eh nicht so leicht, eine Flasche ganz voll zu bekommen. Ich leg meine zu füllenden Flaschen vorher in die Gefriertruhe, damit erreiche ich einen Füllgrad von ca. 75%.
Komisch. Ich friere meine auch kurz ein und komme damit direkt im ersten Anlauf auf um die 100%.
Bei mir ist es eine umgedrehte 6kg Flasche mit Adapter ohne Schlauch. Keine Ahnung, ob es am Setup liegt oder an den Flaschen?
Nimmt das Ventil denn keinen Schaden wenn es eingefroren wird? Da habe ich noch Bedenken.
Bei der vorletzten Befüllung hat mir der Befüller eine Standpauke abgehalten, weil die Flasche zu warm war..
Bei der letzten Befüllung hatte ich die Flasche (2kg) über Nacht auf 8°C im normalen Kühlschrank. Habe mich nicht egtrat, tiefer zu gehen. Ergebnis: 7kg abzüglich 4.5kg Tara. Also 2.5kg in der 2kg-Flasche.
Ich rede von Sodastream-Flaschen. Größere Flaschen fülle ich nicht um. Bei diesen Ventilen sehe ich nicht, was da kaputt gehen sollte. Bei einer Flasche mit Schraubventil könnte es vielleicht sein, dass ein Ventil einfriert - keine Ahnung. Glaube ich aber eigentlich auch nicht, da die ja durch die Verdunstungskälte auch ziemlich kalt werden können.
https://www.linde-gas.at/de/images/Sich ... 101562.pdf
Ich schätze mal mehr als 2,5kg werden auch nicht rein gehen in die 2kg Flasche. Wenn ich das richtig verstehe ist der Druck von flüssigem CO2 in der Flasche primär nur temperaturabhängig und steigt nicht etwa proportional mit dem Füllstand - d.h. wenn voll, dann voll. Wenn die Flasche immer kühl bleibt, hat man einen gewissen Spielraum, da die Flaschen ja einen recht hohen Prüfdruck haben. Das Problem ist aber, dass bei einer fast randvollen Flasche der Druck auch schon bei kleineren Temperaturänderungen stark ansteigen und die Flasche platzen kann. Ich würde mir hier weniger Gedanken machen, ob die Flasche noch zusätzlich eingefroren werden kann, sondern eher wie Du die Befüllung auf ca. 2kg begrenzen kannst.
Re: Kurze Frage, kurze Antwort
Verfasst: Dienstag 30. Juni 2020, 19:41
von JackFrost
VolT Bräu hat geschrieben: Dienstag 30. Juni 2020, 18:41
DerWelcherDurstHat hat geschrieben: Dienstag 30. Juni 2020, 17:54
VolT Bräu hat geschrieben: Sonntag 21. Juni 2020, 19:40
Komisch. Ich friere meine auch kurz ein und komme damit direkt im ersten Anlauf auf um die 100%.
Bei mir ist es eine umgedrehte 6kg Flasche mit Adapter ohne Schlauch. Keine Ahnung, ob es am Setup liegt oder an den Flaschen?
Nimmt das Ventil denn keinen Schaden wenn es eingefroren wird? Da habe ich noch Bedenken.
Bei der vorletzten Befüllung hat mir der Befüller eine Standpauke abgehalten, weil die Flasche zu warm war..
Bei der letzten Befüllung hatte ich die Flasche (2kg) über Nacht auf 8°C im normalen Kühlschrank. Habe mich nicht egtrat, tiefer zu gehen. Ergebnis: 7kg abzüglich 4.5kg Tara. Also 2.5kg in der 2kg-Flasche.
Ich rede von Sodastream-Flaschen. Größere Flaschen fülle ich nicht um. Bei diesen Ventilen sehe ich nicht, was da kaputt gehen sollte. Bei einer Flasche mit Schraubventil könnte es vielleicht sein, dass ein Ventil einfriert - keine Ahnung. Glaube ich aber eigentlich auch nicht, da die ja durch die Verdunstungskälte auch ziemlich kalt werden können.
https://www.linde-gas.at/de/images/Sich ... 101562.pdf
Ich schätze mal mehr als 2,5kg werden auch nicht rein gehen in die 2kg Flasche. Wenn ich das richtig verstehe ist der Druck von flüssigem CO2 in der Flasche primär nur temperaturabhängig und steigt nicht etwa proportional mit dem Füllstand - d.h. wenn voll, dann voll. Wenn die Flasche immer kühl bleibt, hat man einen gewissen Spielraum, da die Flaschen ja einen recht hohen Prüfdruck haben. Das Problem ist aber, dass bei einer fast randvollen Flasche der Druck auch schon bei kleineren Temperaturänderungen stark ansteigen und die Flasche platzen kann. Ich würde mir hier weniger Gedanken machen, ob die Flasche noch zusätzlich eingefroren werden kann, sondern eher wie Du die Befüllung auf ca. 2kg begrenzen kannst.
Stoffdaten zu überkritischem CO
2, sind nicht leicht zu bekommen.
Ausgehen von einer 10 kg CO
2 Flasche mit einer Füllung von 10 kg und einem totalem Vorlumen 13l ist beim Übergang zum Überkritischem CO
2, bei einer Temperatur > 31 °C und einem Druck von > 74 bar, der Druck in der Flasche bei etwa 90 bar. Der theoretische Flaschendruck von 250 bar, sofern es keine mit Sicherheitsventil und 190 bar ist, bei 68 °C erreicht.
Wird die Flasche mit 11 kg gefüllt, liegt der maximale Druck von 250 bar bei ca. 47 °C.
Quelle
Der Druck in der Flasche hängt beim überkritischem CO
2 neben der Temperatur auch von der Dichte des überkritischen CO
2 ab. Diese hängt nur von der Füllmasse und Volumen der Flasche ab.
Hier steht, das bei richtiger Füllung der maximale Druck von 250 bar bei 65 C erreicht wird und bei Überfüllung der Druck deutlich früher erreicht wird.
Edit: Tiefstellung
Gruß JackFrost
Re: Kurze Frage, kurze Antwort
Verfasst: Dienstag 30. Juni 2020, 20:06
von DerWelcherDurstHat
VolT Bräu hat geschrieben: Dienstag 30. Juni 2020, 18:41
Ich rede von Sodastream-Flaschen. Größere Flaschen fülle ich nicht um. Bei diesen Ventilen sehe ich nicht, was da kaputt gehen sollte. Bei einer Flasche mit Schraubventil könnte es vielleicht sein, dass ein Ventil einfriert - keine Ahnung. Glaube ich aber eigentlich auch nicht, da die ja durch die Verdunstungskälte auch ziemlich kalt werden können.
So eine Sodastream-Flasche habe ich vor zwei Monaten entsorgt, weil das Ventil nicht mehr dicht war. Sie war nur zwei mal in Benutzung. Aber vor dem Nachfüllen für einige Tage im Gefrierfach.
https://www.linde-gas.at/de/images/Sich ... 101562.pdf
Ich schätze mal mehr als 2,5kg werden auch nicht rein gehen in die 2kg Flasche. Wenn ich das richtig verstehe ist der Druck von flüssigem CO2 in der Flasche primär nur temperaturabhängig und steigt nicht etwa proportional mit dem Füllstand
Ich verstehe das so, dass der Druck so lange konstant (zB 57Bar bei 20°C) ist, wie sowohl flüssiges als auch gasförmiges CO2 in der Flasche ist. Sobald alles flüssig ist, muss der Druck zwangsweise zunehmen.
- d.h. wenn voll, dann voll.
Eben nicht. Am Druck kann man den Füllstand nicht ermitteln. BZW erst dann, wenn alles flüssig (und damit VIEL ZU VOLL) ist.
Wenn die Flasche immer kühl bleibt, hat man einen gewissen Spielraum, da die Flaschen ja einen recht hohen Prüfdruck haben. Das Problem ist aber, dass bei einer fast randvollen Flasche der Druck auch schon bei kleineren Temperaturänderungen stark ansteigen und die Flasche platzen kann.
Eigentlich nur dann, wenn kein gasförmiges CO2 mehr in der Flasche ist.
Ich würde mir hier weniger Gedanken machen, ob die Flasche noch zusätzlich eingefroren werden kann, sondern eher wie Du die Befüllung auf ca. 2kg begrenzen kannst.
Tja, wie soll ICH das begrenzen, wenn das doch ein gewerblicher Befüller einfüllt? Als Laie geht man eingentlich davon aus, dass der Profi weiss was er tut ;-)
Das Problem ist ja, dass man den Füllstand NUR am Gewicht erkennen kann. Vermutlich war da noch ein halbes Kilo Rest enthalten. Das ist ungefähr die Grössenordnung, die von meiner Sprudel-Anlage in der Flasche belassen wird (hatte ich mal vor längerer Zeit gewogen).
Der Befüller hatte wohl die Flasche gewogen und danach einfach 2kg dazugetan. Besser wäre gewesen, er hätte das aufgedruckte Tara abgelesen...
Re: Kurze Frage, kurze Antwort
Verfasst: Dienstag 30. Juni 2020, 21:09
von JackFrost
DerWelcherDurstHat hat geschrieben: Dienstag 30. Juni 2020, 17:54
Bei der letzten Befüllung hatte ich die Flasche (2kg) über Nacht auf 8°C im normalen Kühlschrank. Habe mich nicht egtrat, tiefer zu gehen. Ergebnis: 7kg abzüglich 4.5kg Tara. Also 2.5kg in der 2kg-Flasche.
Hast du das Tara der "leeren" Flasche selber gewogen ?
Das gestanzte Tara ist meist ohne den Cage. Daher wenn du es noch nicht gemacht hast, wiege die Flasche wenn sie komplett leer ist,
wie das Tara mit Cage ist. 2,5 kg CO2 in einer 2kg ( 2,67 l ) Flasche wäre hochgradig überfüllt.
Gruß JackFrost
Re: Kurze Frage, kurze Antwort
Verfasst: Dienstag 30. Juni 2020, 22:17
von VolT Bräu
Ich verzichte jetzt mal darauf durch Einzelquotes das ganze weiter zu zerfleddern.
Interessant das mit der kaputt-gefrorenen Sodastream Flasche. Ich pack die auch nur kurz in den TK. Mal sehen wie lange es gut geht.
Ich hatte das so verstanden, dass Du die 2kg-Flasche selbst befüllt hast. Das war dann ein Missverständnis. Wenn es kein Messfehler ist, hat der Befüller einen ganz schönen Bock geschossen. Ich kann mir nicht vorstellen, dass die da nur gucken was es für eine Flasche ist und stumpf die Maximalmenge reindrücken ohne zu messen. Das wäre ja extrem fahrlässig.
Beim Druck reden wir glaube ich aneinander vorbei. Ich bin aber auch kein Physiker, versteh die Zusammenhänge nicht bis ins letzte und kann es daher auch nicht korrekt wiedergeben. Daher sage ich da jetzt einfach mal nichts weiter dazu. Die Hinweise stehen ja alle in dem PDF was ich oben verlinkt habe. Besser weiß ich es auch nicht.
Re: Kurze Frage, kurze Antwort
Verfasst: Mittwoch 1. Juli 2020, 10:27
von DerDerDasBierBraut
beryll hat geschrieben: Mittwoch 1. Juli 2020, 09:20
DerWelcherDurstHat hat geschrieben: Dienstag 30. Juni 2020, 18:06
bwanapombe hat geschrieben: Dienstag 30. Juni 2020, 16:12
Meinst Du Gärbehälter? Zylindrokonische Gärbehälter (ZKG).
"Konisch" war das Stichwort. Danke!
Leider scheint es diese Dinger nur in "gross" zu geben. Da soll eigentlich nur die Hefe rein nach dem Abfüllen. Also im niedrigen einstelligen Liter-Bereich. Und idealerweise aus Glas, damit man die Schichten (Hopfenreste/Hefe/Restbier) gut erkennen kann.
Hat jemand einen Tipp?
Leider nicht wirklich, aus Glas wäre mir mal keiner bekannt. Ich hab folgenden für meine Starter, den hab ich damals im "Angebot" für knapp 100 EUR dort bestellt - preislich halt eine Hausnummer, keine Frage:
https://www.brouwland.com/de/unsere-pro ... 3JEALw_wcB
VG Peter
Sucht ihr nach dem Wort "Scheidetrichter"? ;-)
https://de.wikipedia.org/wiki/Scheidetrichter
Gibt es auch im Bereich von wenigen Litern Volumen.
Allerdings halte ich Hefewaschen, Schichten abtrennen etc. für wenig sinnvoll. Was den Scheidetrichter auch gleich wieder überflüssig macht

Re: Kurze Frage, kurze Antwort
Verfasst: Mittwoch 1. Juli 2020, 10:42
von DerDerDasBierBraut
Keine schlechte Idee, den Brewbucket Mini für Starter zu verwenden. Man müsste mal ausprobieren, ob der Eimer auf einen Magnetrührer passt

.
Mit einem großen Sternfisch wäre das vielleicht sogar ausfallsicher, weil der Rührfisch nach dem Rausfliegen wieder in den Konus zurück fällt und weiter rührt.
Re: Kurze Frage, kurze Antwort
Verfasst: Mittwoch 1. Juli 2020, 13:19
von DerWelcherDurstHat
JackFrost hat geschrieben: Dienstag 30. Juni 2020, 21:09
DerWelcherDurstHat hat geschrieben: Dienstag 30. Juni 2020, 17:54
Bei der letzten Befüllung hatte ich die Flasche (2kg) über Nacht auf 8°C im normalen Kühlschrank. Habe mich nicht egtrat, tiefer zu gehen. Ergebnis: 7kg abzüglich 4.5kg Tara. Also 2.5kg in der 2kg-Flasche.
Hast du das Tara der "leeren" Flasche selber gewogen ?
Nein, das ist aufgedruckt...
Das gestanzte Tara ist meist ohne den Cage.
Da ist so ein Metallbügel, der gleichzeitig das Ventil schützt und als Griff dient. Der könnte ungefähr ein halbes Kilo schwer sein, wäre also eine Erklärung. Dass der im "Tara" nicht berücksichtigt ist wusste ich nicht. Danke für die Aufklärung! Bei der nächsten Befüllung werde ich mal nachfragen wie die messen.
VolT Bräu hat geschrieben: Dienstag 30. Juni 2020, 22:17
Interessant das mit der kaputt-gefrorenen Sodastream Flasche. Ich pack die auch nur kurz in den TK. Mal sehen wie lange es gut geht.
In der Tat hatte ich die Flasche über längere Zeit im Gefrierfach. Das waren mit Sicherheit mehrere Wochen.
Re: Kurze Frage, kurze Antwort
Verfasst: Mittwoch 1. Juli 2020, 14:01
von DerWelcherDurstHat
Ja, da kommen wir der Sache schon näher! Die gibt es aus Glas und auch mit zB 2 Litern. Die Preise sind aber auch gesalzen...
Allerdings halte ich Hefewaschen, Schichten abtrennen etc. für wenig sinnvoll. Was den Scheidetrichter auch gleich wieder überflüssig macht
"Waschen" im eigentlichen Sinne ist es ja auch nicht. Vielmehr "Abtrennen" der Hefe vom Restber
Wenn man die Hefe für Pizzateig verwenden möchte, ist es auch besser, wenn keine Hopfenreste mehr drin sind?
Re: Kurze Frage, kurze Antwort
Verfasst: Mittwoch 1. Juli 2020, 14:53
von DerWelcherDurstHat
Wollte mir
diesen Plattenkühler bestellen. Zum Glück vorher nochmal nachgefragt: man kann den zwar zerlegen, aber zur regelmässigen Reinigung ist das Zerlegen nicht zu empfehlen.
Kann jemand einen Plattenkühler empfehlen, den man zur Reinigung auch gut zerlegen kann?
Re: Kurze Frage, kurze Antwort
Verfasst: Mittwoch 1. Juli 2020, 15:00
von bierhistoriker.org
DerWelcherDurstHat hat geschrieben: Mittwoch 1. Juli 2020, 14:53
Wollte mir
diesen Plattenkühler bestellen. Zum Glück vorher nochmal nachgefragt: man kann den zwar zerlegen, aber zur regelmässigen Reinigung ist das Zerlegen nicht zu empfehlen.
Kann jemand einen Plattenkühler empfehlen, den man zur Reinigung auch gut zerlegen kann?
ss-brewtech heat exchanger - mal googeln (habe selbst keine Erfahrungen damit, mir wurde aber berichtet, dass er ok ist)
cheers
Jürgen
Re: Kurze Frage, kurze Antwort
Verfasst: Mittwoch 1. Juli 2020, 15:16
von Beerkenauer
DerWelcherDurstHat hat geschrieben: Mittwoch 1. Juli 2020, 14:53
Wollte mir
diesen Plattenkühler bestellen. Zum Glück vorher nochmal nachgefragt: man kann den zwar zerlegen, aber zur regelmässigen Reinigung ist das Zerlegen nicht zu empfehlen.
Kann jemand einen Plattenkühler empfehlen, den man zur Reinigung auch gut zerlegen kann?
Ich hatte am Anfang einen Plattenkühler. Nach einiger Zeit kamen da schwarze Schleimbrocken raus. Trotz gründlich durchspülen nach jedem dem Brauen und mit Alkohol Befüllung während Lagerung.
Grundsätzlich war ich mit der Leistung (Verhaltnis Wassermenge/Kühleffekt) sehr zufrieden. Bin aber auf Kühlspirale (für "in den Topf") und Gegenstromkühler (Spirale in Gartenschlauch) umgestiegen, da diese sich einfach gründlicher und besser reinigen lassen.
Von daher ist Deine Frage valide ob man den PWT zerlegen kann.
Glaube solche Varianten sind aber sehr teuer (komme grade nicht auf den Link von oben drauf).
Stefan
Re: Kurze Frage, kurze Antwort
Verfasst: Mittwoch 1. Juli 2020, 15:45
von Johanson
Wie schnell geht eigentlich die Denaturierung der Amylasen bei zu hoher Temperatur vonstatten?
Da eine generelle Aussage darüber warscheinlich schwierig ist konkreter: Wie lange brauchts für ß-Amylase bei 71°C bis sie vollkommen hinüber ist, ihre Proteine koaguliert sind? Finde ich hierzu immer nur so qualitative Angaben wie "Denaturiert sehr schnell".
Re: Kurze Frage, kurze Antwort
Verfasst: Mittwoch 1. Juli 2020, 15:53
von DerDerDasBierBraut
DerWelcherDurstHat hat geschrieben: Mittwoch 1. Juli 2020, 14:01
Allerdings halte ich Hefewaschen, Schichten abtrennen etc. für wenig sinnvoll. Was den Scheidetrichter auch gleich wieder überflüssig macht
"Waschen" im eigentlichen Sinne ist es ja auch nicht. Vielmehr "Abtrennen" der Hefe vom Restber
Wenn man die Hefe für Pizzateig verwenden möchte, ist es auch besser, wenn keine Hopfenreste mehr drin sind?
Kommt drauf an. Bei einem langsam und kalt geführten Pizzateig, mit 2g Hefe auf 1Kg Mehl und min. 3 Tage Reifung im Kühlschrank, wird ein bisschen Hopfen in der kleinen Hefemenge nicht auffallen.
Für eine Schnellpizza (viel Hefe, warme und kurze Führung) würde ich gar keine Bierhefe nehmen, die schon mal Bier vergoren hat. In den Zellen stecken dann alle möglichen Fehlaromen und auch Hopfenbittere. Das könnte man bestimmt herausschmecken.
Re: Kurze Frage, kurze Antwort
Verfasst: Mittwoch 1. Juli 2020, 19:57
von DerWelcherDurstHat
Beerkenauer hat geschrieben: Mittwoch 1. Juli 2020, 15:16
DerWelcherDurstHat hat geschrieben: Mittwoch 1. Juli 2020, 14:53
Kann jemand einen Plattenkühler empfehlen, den man zur Reinigung auch gut zerlegen kann?
Ich hatte am Anfang einen Plattenkühler. Nach einiger Zeit kamen da schwarze Schleimbrocken raus. Trotz gründlich durchspülen nach jedem dem Brauen und mit Alkohol Befüllung während Lagerung.
Genau. Das Teil muss man zerlegt in die Spülmaschine legen können.
Grundsätzlich war ich mit der Leistung (Verhaltnis Wassermenge/Kühleffekt) sehr zufrieden. Bin aber auf Kühlspirale (für "in den Topf") und Gegenstromkühler (Spirale in Gartenschlauch) umgestiegen, da diese sich einfach gründlicher und besser reinigen lassen.
So einen
Gartenschlauch habe ich mir auch zusammengelötet. Kühlleistung ist hervorragend: 20 Liter in 10 Minuten von 80°C auf 16°C. Der schafft sicherlich auch 5°C, wenn man ihn mit Eiswasser füttert.
ABER: Das Ding ist schwer, klobig, unhandlich, sperrig und die Anschlüsse zeigen in alle Himmelsrichtungen.. Bis das Ding aufgebaut ist, ist die Brühe fast schon ganz von alleine auf Anstelltemperatur
Der oben erwähnte von SS Brewtech scheint nirgendwo erhältlich zu sein...
Re: Kurze Frage, kurze Antwort
Verfasst: Mittwoch 1. Juli 2020, 20:00
von DerWelcherDurstHat
DerDerDasBierBraut hat geschrieben: Mittwoch 1. Juli 2020, 15:53
Kommt drauf an. Bei einem langsam und kalt geführten Pizzateig, mit 2g Hefe auf 1Kg Mehl und min. 3 Tage Reifung im Kühlschrank, wird ein bisschen Hopfen in der kleinen Hefemenge nicht auffallen.
Wie ist eigentlich das Verhältnis von Presshefe zu der frei im Jungbier schwimmenden Hefe? Die Presshefe (auf die sich ja die Mengenangaben in Rezepten normalerweise beziehen) haben doch sicherlich mehr Zellen pro Gewichtseinheit als der Bodensatz aus dem Gärfass?
Re: Kurze Frage, kurze Antwort
Verfasst: Mittwoch 1. Juli 2020, 21:42
von DerDerDasBierBraut
Trockenhefe : Presshefe = 3 : 1
---------
Und laut brewersfriend.com ist Trockenhefe : Slurry annähernd 10:1
Re: Kurze Frage, kurze Antwort
Verfasst: Mittwoch 1. Juli 2020, 21:45
von DerWelcherDurstHat
Aehm, ich meinte eigentlich das Verhältnis von Presshefe zum Bodensatz im Gärfass :)
Re: Kurze Frage, kurze Antwort
Verfasst: Mittwoch 1. Juli 2020, 22:06
von DerDerDasBierBraut
Ähm ... Stichwort "Mathe Klasse 6 - Verhältnisgleichung". Die Eckdaten dafür stehen oben. ;-)
Grob überschlagen Presshefe : Slurry = 3,33 : 1
Re: Kurze Frage, kurze Antwort
Verfasst: Mittwoch 1. Juli 2020, 22:55
von DerWelcherDurstHat
Argh! Den Satz nach der Bindestrichabtrennung hatte ich gar nicht gelesen.

Das sah so nach Signatur aus

Re: Kurze Frage, kurze Antwort
Verfasst: Mittwoch 1. Juli 2020, 23:18
von DerDerDasBierBraut
Sorry. Ja, gut versteckt ;-)
Re: Kurze Frage, kurze Antwort
Verfasst: Donnerstag 2. Juli 2020, 06:36
von Coint
Servus zusammen,
gerne würde ich von euch wissen, welche pH-Meter ihr in Gebrauch habt.
Ich habe zwar die Suchfunktion bemüht, konnte aber nur einen alten Thread finden, in dem die Links zu den vorgeschlagenen Produkten nicht mehr funktionieren.
Re: Kurze Frage, kurze Antwort
Verfasst: Donnerstag 2. Juli 2020, 08:10
von Ruthard
Coint hat geschrieben: Donnerstag 2. Juli 2020, 06:36
Servus zusammen,
gerne würde ich von euch wissen, welche pH-Meter ihr in Gebrauch habt.
Ich habe zwar die Suchfunktion bemüht, konnte aber nur einen alten Thread finden, in dem die Links zu den vorgeschlagenen Produkten nicht mehr funktionieren.
Ab 9.7. bei
Lidl, 8,76€ , gleiches Gerät
online sofort für 12,66€
Cheers, Ruthard
Re: Kurze Frage, kurze Antwort
Verfasst: Donnerstag 2. Juli 2020, 11:36
von Coint
Super, wird geholt.
Vielen, herzlichen Dank.
MfG
Stefan
Re: Kurze Frage, kurze Antwort
Verfasst: Donnerstag 2. Juli 2020, 14:30
von Barney Gumble
Grade nicht verfügbar. Habe das gleiche und irgendwie das Gefühl es taugt nix
"Aussen"-Thermometer für Kühlschrank gesucht
Verfasst: Samstag 4. Juli 2020, 21:06
von Blondes
Hallo zusammen,
ich suche für meinen Kegerator ein Thermometer, das ich von aussen ablesen kann (ich würds durch die Tür stecken).
Sowas (siehe Bild) wär toll, nur halt mit einer etwas Kühli-geren Anzeige (vielleicht von -10 bis 20°C oder so).
Weiss, jemand, wo ich so etwas bekommen kann?
Dank und viele Grüße,
Martin
Re: Kurze Frage, kurze Antwort
Verfasst: Samstag 4. Juli 2020, 23:04
von DerSchwabe
Guten Abend :)
Ich habe eine Erntehefe Wyeast 3068 seit 3 Monate im Kühlschrank stehen.
Jetzt die Frage kann ich die noch nehmen oder besser eine neue bestellen.
Da ich ein gewissen Brautag anstreben wäre eine Nachbestellung kritisch zu betrachten, (Lieferzeit Aktivierung usw.)
Was ratet ihr mir
Grüße
Re: Kurze Frage, kurze Antwort
Verfasst: Sonntag 5. Juli 2020, 06:39
von klecksi
DerSchwabe hat geschrieben: Samstag 4. Juli 2020, 23:04
Guten Abend :)
Ich habe eine Erntehefe Wyeast 3068 seit 3 Monate im Kühlschrank stehen.
Jetzt die Frage kann ich die noch nehmen oder besser eine neue bestellen.
Da ich ein gewissen Brautag anstreben wäre eine Nachbestellung kritisch zu betrachten, (Lieferzeit Aktivierung usw.)
Was ratet ihr mir
Grüße
ich würde sie so nehmen, kannst aber auch einen Starter zur Sicherheit machen. Bestellen brauchst du nichts.
Re: Kurze Frage, kurze Antwort
Verfasst: Sonntag 5. Juli 2020, 07:57
von DerSchwabe
Okay,
Dann werde ich die benutzen, einen Starter ist geplant :)
VG
Re: Kurze Frage, kurze Antwort
Verfasst: Sonntag 12. Juli 2020, 10:53
von mavro
Hallo zusammen
Ich habe zum ersten Mal untergärig gebraut: ein deutsches Pils mit W34/70.
Ich habe es nun seit einer Woche bei 16 Grad in der Nachgärung und bin jetzt 2 Wochen weg.
Soll ich es noch 2 weitere Wochen in der Nachgärung lassen, bis ich wieder komme oder lieber bei 6 Grad mit der Lagerung /Kaltreifung starten?
Re: Kurze Frage, kurze Antwort
Verfasst: Sonntag 12. Juli 2020, 11:58
von schwarzwaldbrauer
Hallo Andreas,
ich gehe davon aus, dass die Hauptgärung 2...3 Wochen gedauert hat. Dann würde ich für die Nachgärung auch so viel Zeit rechnen und das ganze bis zu deiner Rückkehr lassen wie es ist.
Grüßle Dieter
Re: Kurze Frage, kurze Antwort
Verfasst: Sonntag 12. Juli 2020, 15:00
von mavro
Hallo Dieter,
Ja, die Hauptgärung hatte 18 Tage gedauert.
Alles klar, dann mach ich das so - danke!

Re: Kurze Frage, kurze Antwort
Verfasst: Dienstag 14. Juli 2020, 17:08
von NordBrau
Hallo,
Ich habe einen Starter, aus 1 Führung, hochgezogen.
Hefe ist die Wyeast 1084.
Nun habe ich das Problem, daß die Hefe zu schnell nach neuem Stoff giert. Ich habe genug Hefe will aber erst in 2 Tagen Brauen.
Kann ich den Starter jetzt wie er ist in den Kühlschrank packen und am Brautag wieder rausnehmen?
Lieben Gruß Yannick
Re: Kurze Frage, kurze Antwort
Verfasst: Dienstag 14. Juli 2020, 18:21
von cerveceriasultana
Hat hier jemand schon Erfahrungen mit dem Hallertauer Zuchtstamm 2011/02/04 sammeln können? (
http://www.hopfenhandel-resch.de/epages ... 721%5B6%5D)
Re: Kurze Frage, kurze Antwort
Verfasst: Sonntag 19. Juli 2020, 15:59
von PabloNop
Hi,
ich hatte heute beim Brauen das Gefühl, meine Hendi hätte viel weniger Leistung als sonst. Das Kochen hat zwar noch funktioniert, ich musste aber teilweise auf volle Leistung (Anzeige 3500W) gehen, wo sonst 2100 W gereicht haben. Fehlercodes o.ä. zeigt die Platte keine an und der Lüfter läuft auch wie gewohnt. Ist das ein bekanntes Verhalten?
Re: Kurze Frage, kurze Antwort
Verfasst: Dienstag 21. Juli 2020, 08:10
von Silbereule
Hallo zusammen, habe gestern mit Zucker in Flaschen abgefüllt. Doppelbock, 18°P, runter auf 5,2%. Hefe war die Gozdawa PAY7, vergoren bei 17°C später schrittweise erhöht auf 20°C. Morgen steht ein neuer Brautag an, sodass mein einziger kontrollierter Gärkühlschrank wieder gebraucht wird. In meiner Wohnung sind derzeit zwischen 24 und 27 °C. Spricht etwas dagegen die Nachgärung bei diesen Temperaturen durchzuführen? Denke vor allem an Ester, die ich nicht haben will, aber es heißt immer diese entstehen vor allem in der Hauptgärung zu Beginn. Vielleicht übersehe ich auch noch irgendwas anderes?
Vielen Dank und Herzliche Grüße,
Steffen
Re: Kurze Frage, kurze Antwort
Verfasst: Dienstag 21. Juli 2020, 08:22
von JackFrost
PabloNop hat geschrieben: Sonntag 19. Juli 2020, 15:59
Hi,
ich hatte heute beim Brauen das Gefühl, meine Hendi hätte viel weniger Leistung als sonst. Das Kochen hat zwar noch funktioniert, ich musste aber teilweise auf volle Leistung (Anzeige 3500W) gehen, wo sonst 2100 W gereicht haben. Fehlercodes o.ä. zeigt die Platte keine an und der Lüfter läuft auch wie gewohnt. Ist das ein bekanntes Verhalten?
Hast du einen Leistungsmesser mit du schauen könntest ob die Platte die Leistung wirklich aufgenommen hat ?
Hat sich ggf. der Boden deines Topfes verzogen oder verändert so das nicht mehr die Volle Leistung nötig ist ?
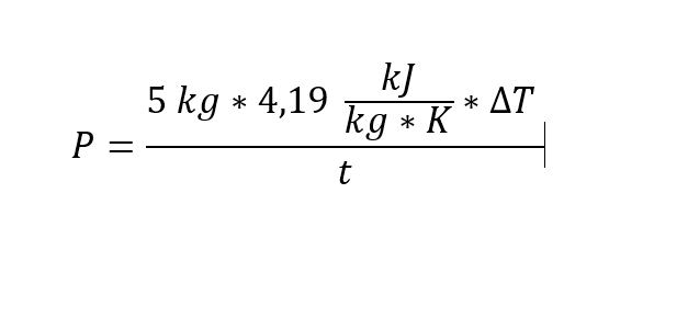
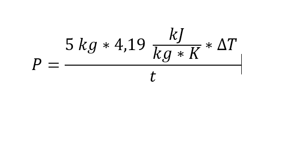
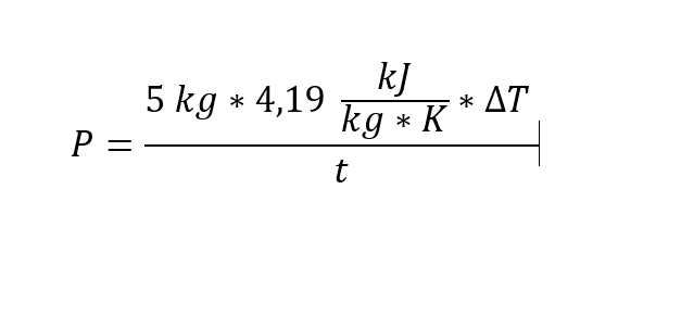
Du kannst 5 kg Wasser nehmen aus der Leitung nehmen, hier die Temperatur messen und die Zeit Stoppen die du
bei voller Leistung brauchst bis es kocht. Mit der Formel unten kannst du dann die Leistung berechnen die ins Wasser gegagen ist.
Wenn die deutlich von der eingestellen Leistung abweicht, dann schau dir mal den Topf an, ob da was nicht passt.

- Formel.png (5.73 KiB) 14027 mal betrachtet
Gruß JackFrost