Mein Zollbescheid 2015
- tauroplu
- Posting Freak

- Beiträge: 13983
- Registriert: Sonntag 23. Oktober 2005, 18:04
- Wohnort: 58453 Witten
- Kontaktdaten:
Mein Zollbescheid 2015
Moinsen,
zur allg. Info anbei mein diesjähriges Reaktionsschreiben auf meine Brauanzeige vor ca. 2 Wochen:
Beste Grüße
Michael
zur allg. Info anbei mein diesjähriges Reaktionsschreiben auf meine Brauanzeige vor ca. 2 Wochen:
Beste Grüße
Michael
Beste Grüße
Michael
„Lass die anderen mit Fichten- und Tannensprossen würzen, der Hopfen ist das Beste, was die Natur uns bietet.“
Aus "Das Erbe des Bierzauberers" von Günther Thömmes, Gmeiner Verlag
Michael
„Lass die anderen mit Fichten- und Tannensprossen würzen, der Hopfen ist das Beste, was die Natur uns bietet.“
Aus "Das Erbe des Bierzauberers" von Günther Thömmes, Gmeiner Verlag
- Hesse
- Posting Freak

- Beiträge: 1290
- Registriert: Samstag 7. Juli 2012, 15:28
- Wohnort: City of Frankfurt / Hessen
Re: Mein Zollbescheid 2015
Ein identisches Schreiben habe ich vor 14 Tagen vom HZA Frankfurt auch bekommen.
Die Damen und Herren habe sich jetzt wohl auf eine Richtung geeinigt.
Die Damen und Herren habe sich jetzt wohl auf eine Richtung geeinigt.
Guten Sud
Henner
___________________
Mal bin ich Hund, mal bin ich Baum
Henner
___________________
Mal bin ich Hund, mal bin ich Baum
Re: Mein Zollbescheid 2015
Mein Bescheid von den Regensburgern sah letztes Jahr schon so aus. Es wird doch langsam... 
- saarmoench
- Posting Freak

- Beiträge: 1380
- Registriert: Mittwoch 15. September 2010, 18:20
Re: Mein Zollbescheid 2015
Meiner auch, HZA Saarbrücken.comi hat geschrieben:Mein Bescheid von den Regensburgern sah letztes Jahr schon so aus. Es wird doch langsam...
Es gab eine kurze telefonische Rücksprache, ob ich denn meine 11€ schon überwiesen hätte und ob er mal auf ein Bier vorbeikommen dürfte. Sehr nett und unkompliziert.
Grüße,
Markus
- Johnny H
- Posting Freak

- Beiträge: 4223
- Registriert: Donnerstag 31. Januar 2013, 22:08
- Wohnort: Graz, Österreich
Re: Mein Zollbescheid 2015
Mein Schreiben vom HZA Berlin (heute erhalten) sieht identisch aus.
Jubel erscholl, als sich die Trinker von dem schneidigen, köstlichen, bei dem früher in Pilsen erzeugten nie wahrgenommenen Geschmack überzeugten. Die Geburt des Pilsner Bieres!
(E. Jalowetz, Pilsner Bier im Lichte von Praxis und Wissenschaft, 1930)
(E. Jalowetz, Pilsner Bier im Lichte von Praxis und Wissenschaft, 1930)
-
Spasskrapfen1
- Posting Senior

- Beiträge: 455
- Registriert: Freitag 31. Oktober 2014, 17:27
- Wohnort: Hohenlinden
Re: Mein Zollbescheid 2015
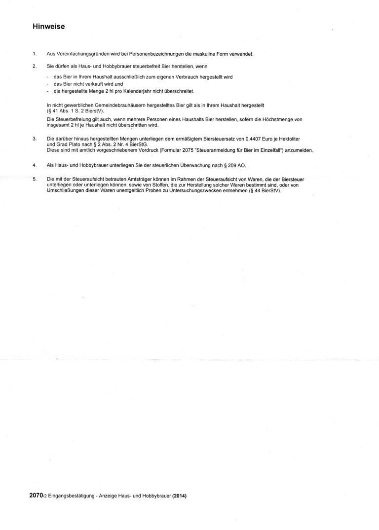
Formular 2070 heisst dieses "Heisse" Design
Liebe Grüße Robert
www.instagram.com/biermaniac
Extra Bavariam, non est vita, et si vita, non est ita.
www.instagram.com/biermaniac
Extra Bavariam, non est vita, et si vita, non est ita.
Re: Mein Zollbescheid 2015
Hallo,
ich habe auch dieses Schreiben die Tage erhalten, mit dem Unterschied das bei mir unter Punkt 3. makiert ist das ich jeden einzelnen Brauvorgang melden muss.
Naja, gibt schlimmeres!
Gruß Florian
ich habe auch dieses Schreiben die Tage erhalten, mit dem Unterschied das bei mir unter Punkt 3. makiert ist das ich jeden einzelnen Brauvorgang melden muss.
Naja, gibt schlimmeres!
Gruß Florian
- Ladeberger
- Moderator

- Beiträge: 7361
- Registriert: Dienstag 20. November 2012, 18:29
Re: Mein Zollbescheid 2015
Und weißt du auch aus welchem Grund?Nailgun hat geschrieben:Hallo,
ich habe auch dieses Schreiben die Tage erhalten, mit dem Unterschied das bei mir unter Punkt 3. makiert ist das ich jeden einzelnen Brauvorgang melden muss.
Naja, gibt schlimmeres!
Gruß Florian
Gruß
Andy
Re: Mein Zollbescheid 2015
Ich habe die Vermutung dass es so ist weil ich 300l angemeldet habe...Ladeberger hat geschrieben:Und weißt du auch aus welchem Grund?Nailgun hat geschrieben:Hallo,
ich habe auch dieses Schreiben die Tage erhalten, mit dem Unterschied das bei mir unter Punkt 3. makiert ist das ich jeden einzelnen Brauvorgang melden muss.
Naja, gibt schlimmeres!
Gruß Florian
Gruß
Andy
Gruß Florian
- saschabouchon
- Posting Freak

- Beiträge: 964
- Registriert: Freitag 28. Februar 2014, 11:27
- Kontaktdaten:
Re: Mein Zollbescheid 2015
Meins auchJohnny H hat geschrieben:Mein Schreiben vom HZA Berlin (heute erhalten) sieht identisch aus.
http://www.brauhardware.de
Rührwerk selber bauen, von der Einkocher- bis zur 70l Brauklasse! Läuterfreund, Edelstahlhähne etc...
Rührwerk selber bauen, von der Einkocher- bis zur 70l Brauklasse! Läuterfreund, Edelstahlhähne etc...
Re: Mein Zollbescheid 2015
Huiuiui,
da fällt mir gerade ein ich muss auch noch anmelden für 2015...

da fällt mir gerade ein ich muss auch noch anmelden für 2015...
-
jbrake
Re: Mein Zollbescheid 2015
Ups, da war doch was ... ;-)
Naja, der erste Sud steht ja noch aus ...
LG Jörg
Naja, der erste Sud steht ja noch aus ...
LG Jörg
Re: Mein Zollbescheid 2015
11 € ???saarmoench hat geschrieben:Es gab eine kurze telefonische Rücksprache, ob ich denn meine 11€ schon überwiesen hätte und ob er mal auf ein Bier vorbeikommen dürfte. Sehr nett und unkompliziert.comi hat geschrieben:Mein Bescheid von den Regensburgern sah letztes Jahr schon so aus. Es wird doch langsam...
mögen die IBU mit euch sein, Harry
Was kümmert mich mein Geschwätz von gestern, nichts hindert mich, weiser zu werden. (K. Adenauer)
Was kümmert mich mein Geschwätz von gestern, nichts hindert mich, weiser zu werden. (K. Adenauer)
- Kirk1701
- Posting Freak

- Beiträge: 3549
- Registriert: Montag 30. November 2009, 00:49
- Wohnort: Hannover
Re: Mein Zollbescheid 2015
Yeah
Bei mir siehts jetzt auch so aus (Formular 2070/1). Nun habe ich auch endlich eine Hobbybrauernummer.
Nur soll ich jeden Sud vorher anmelden weil ich jetzt im Brauraum braue
Kirk
Bei mir siehts jetzt auch so aus (Formular 2070/1). Nun habe ich auch endlich eine Hobbybrauernummer.
Nur soll ich jeden Sud vorher anmelden weil ich jetzt im Brauraum braue
Kirk
Wir machen selber Bier!
Mein Kanal , Sudhaus Schwülper - zum Blog sponsored by Adam´s Hardware - Das Original Darf gerne von B- und C- Hardware kopiert werden.
Mein Kanal , Sudhaus Schwülper - zum Blog sponsored by Adam´s Hardware - Das Original Darf gerne von B- und C- Hardware kopiert werden.
Re: Mein Zollbescheid 2015
hi Kirk,Kirk1701 hat geschrieben:Yeah![]()
Bei mir siehts jetzt auch so aus (Formular 2070/1). Nun habe ich auch endlich eine Hobbybrauernummer.
Nur soll ich jeden Sud vorher anmelden weil ich jetzt im Brauraum braue![]()
Kirk
haben die das bei dir in dem Schreiben so angegeben?
Gruß Florian
- Kirk1701
- Posting Freak

- Beiträge: 3549
- Registriert: Montag 30. November 2009, 00:49
- Wohnort: Hannover
Re: Mein Zollbescheid 2015
Ja,
aber nur weil ich meine Freimenge von 200l verloren habe weil ich eben nicht zu Hause braue --> http://www.sudhaus-schwuelper.de
Position 3, X jeden Sud rechtzeitig anmelden mit dem Kommentar in Feld 4 --> ...damit ggf. ein Beamter der Steueraufsicht den Termin wahrnehmen kann...
Die wollen mitsaufen
Kirk
aber nur weil ich meine Freimenge von 200l verloren habe weil ich eben nicht zu Hause braue --> http://www.sudhaus-schwuelper.de
Position 3, X jeden Sud rechtzeitig anmelden mit dem Kommentar in Feld 4 --> ...damit ggf. ein Beamter der Steueraufsicht den Termin wahrnehmen kann...
Die wollen mitsaufen
Kirk
Wir machen selber Bier!
Mein Kanal , Sudhaus Schwülper - zum Blog sponsored by Adam´s Hardware - Das Original Darf gerne von B- und C- Hardware kopiert werden.
Mein Kanal , Sudhaus Schwülper - zum Blog sponsored by Adam´s Hardware - Das Original Darf gerne von B- und C- Hardware kopiert werden.
- Ruthard
- Posting Freak

- Beiträge: 7629
- Registriert: Sonntag 26. Februar 2012, 21:07
- Wohnort: 1443 Wine Country Drive 2335 Rothbury Australia
- Kontaktdaten:
Re: Mein Zollbescheid 2015
Wieso hast du denn deine Freimenge verloren? Die bleibt dir bis Ende 2015 erhalten, vorausgesetzt du braust sie zuhause.aber nur weil ich meine Freimenge von 200l verloren habe weil ich eben nicht zu Hause braue -->
Was außer Haus gebraut wird, war noch nie steuerbefreit, also kannst du dafür auch keine Freimenge verlieren.
Mitnichten musst du deine aushäusigen Sude einzeln vorher anzeigen oder gar anmelden, dafür gibt es keine Rechtsgrundlage. Einfach losbrauen, messen, 2075 ausfüllen, Kohle überweisen - fertig!
Cheers, Ruthard
Wir könnten viel, wenn wir zusammenstünden (F.Schiller in Wilhelm Tell)
- Einkoch-Theo
- Posting Klettermax

- Beiträge: 182
- Registriert: Donnerstag 25. April 2013, 15:35
Re: Mein Zollbescheid 2015
Auch das HZA Kiel hat sich dieses Jahr geändert: Ich soll nur noch einmalig zum Jahresanfang meinen Erstsud melden, und daß ich nicht mehr als 200l braue und weiter nichts mehr! Sonst musste ich noch jeden Sud per email anmelden, was jetzt entfällt.
Ich freue mich!
Theo
Ich freue mich!
Theo
Wieso ist Leergut?
- Kirk1701
- Posting Freak

- Beiträge: 3549
- Registriert: Montag 30. November 2009, 00:49
- Wohnort: Hannover
Re: Mein Zollbescheid 2015
Hallo Ruthard,Brauwolf hat geschrieben:Wieso hast du denn deine Freimenge verloren? Die bleibt dir bis Ende 2015 erhalten, vorausgesetzt du braust sie zuhause.aber nur weil ich meine Freimenge von 200l verloren habe weil ich eben nicht zu Hause braue -->
Was außer Haus gebraut wird, war noch nie steuerbefreit, also kannst du dafür auch keine Freimenge verlieren.
Mitnichten musst du deine aushäusigen Sude einzeln vorher anzeigen oder gar anmelden, dafür gibt es keine Rechtsgrundlage. Einfach losbrauen, messen, 2075 ausfüllen, Kohle überweisen - fertig!
Cheers, Ruthard
danke für den Beistand. Aber ich will da keinen Stress mit dem HZA Braunschweig. Ich habe die Freimenge verloren weil ich nicht an meiner Meldeadresse braue. Nämlich nicht in Braunschweig sondern in Schwülper (Gifhorn). Deswegen wurde mir auferlegt jeden Sud vorher anzumelden und die 200l Freimenge gestrichen....
Somit wird bei jedem Sud Formular 2075 fällig. Da hatte ich mich schon drauf eingestellt. Nur das vorher melden nervt....
Kirk
Wir machen selber Bier!
Mein Kanal , Sudhaus Schwülper - zum Blog sponsored by Adam´s Hardware - Das Original Darf gerne von B- und C- Hardware kopiert werden.
Mein Kanal , Sudhaus Schwülper - zum Blog sponsored by Adam´s Hardware - Das Original Darf gerne von B- und C- Hardware kopiert werden.
- Ruthard
- Posting Freak

- Beiträge: 7629
- Registriert: Sonntag 26. Februar 2012, 21:07
- Wohnort: 1443 Wine Country Drive 2335 Rothbury Australia
- Kontaktdaten:
Re: Mein Zollbescheid 2015
Sag mal, schreibe ich in Kisuaheli oder auf hebräisch?
Die Auflage, jeden Sud vorher anzumelden ist unwirksam - es gibt dafür keine rechtliche Grundlage.
Was du woanders als zuhause braust, war noch nie steuerbefreit - und nur für die Steuerbefreiung ist eine vorherige Anzeige erforderlich. Die maximale Steuerbefreiung die du verloren hast, beträgt 10€ im Jahr. Zwei Rührwerke mehr verkloppt und dann ist das wieder drin.
Deswegen: Brauen, messen, 2075 ausfüllen, Steuer überweisen, fertig. Bei 20 Liter mit 12° Plato sind das 1,06€ pro Sud.
Cheers, Ruthard
Die Auflage, jeden Sud vorher anzumelden ist unwirksam - es gibt dafür keine rechtliche Grundlage.
Was du woanders als zuhause braust, war noch nie steuerbefreit - und nur für die Steuerbefreiung ist eine vorherige Anzeige erforderlich. Die maximale Steuerbefreiung die du verloren hast, beträgt 10€ im Jahr. Zwei Rührwerke mehr verkloppt und dann ist das wieder drin.
Deswegen: Brauen, messen, 2075 ausfüllen, Steuer überweisen, fertig. Bei 20 Liter mit 12° Plato sind das 1,06€ pro Sud.
Cheers, Ruthard
Wir könnten viel, wenn wir zusammenstünden (F.Schiller in Wilhelm Tell)
- Kirk1701
- Posting Freak

- Beiträge: 3549
- Registriert: Montag 30. November 2009, 00:49
- Wohnort: Hannover
Re: Mein Zollbescheid 2015
Hallo Ruthard,Brauwolf hat geschrieben:
Die Auflage, jeden Sud vorher anzumelden ist unwirksam - es gibt dafür keine rechtliche Grundlage.
ich hoffe ich habe richtig zitiert.
Die 200l Freimenge sind mir egal...nur das melden nervt! Was mache ich jetzt mit deiner Info? Einfach nicht melden und 2075 ausfüllen?
Kirk
Wir machen selber Bier!
Mein Kanal , Sudhaus Schwülper - zum Blog sponsored by Adam´s Hardware - Das Original Darf gerne von B- und C- Hardware kopiert werden.
Mein Kanal , Sudhaus Schwülper - zum Blog sponsored by Adam´s Hardware - Das Original Darf gerne von B- und C- Hardware kopiert werden.
- Kirk1701
- Posting Freak

- Beiträge: 3549
- Registriert: Montag 30. November 2009, 00:49
- Wohnort: Hannover
Re: Mein Zollbescheid 2015
Naja,
es könnte ja die Frage kommen wo denn die Voranmeldung zum Fromular 2075 ist
Kirk
es könnte ja die Frage kommen wo denn die Voranmeldung zum Fromular 2075 ist
Kirk
Wir machen selber Bier!
Mein Kanal , Sudhaus Schwülper - zum Blog sponsored by Adam´s Hardware - Das Original Darf gerne von B- und C- Hardware kopiert werden.
Mein Kanal , Sudhaus Schwülper - zum Blog sponsored by Adam´s Hardware - Das Original Darf gerne von B- und C- Hardware kopiert werden.
- Ruthard
- Posting Freak

- Beiträge: 7629
- Registriert: Sonntag 26. Februar 2012, 21:07
- Wohnort: 1443 Wine Country Drive 2335 Rothbury Australia
- Kontaktdaten:
Re: Mein Zollbescheid 2015
Genau. Erst brauen, dann melden.Kirk1701 hat geschrieben:Hallo Ruthard,Brauwolf hat geschrieben:
Die Auflage, jeden Sud vorher anzumelden ist unwirksam - es gibt dafür keine rechtliche Grundlage.
ich hoffe ich habe richtig zitiert.
Die 200l Freimenge sind mir egal...nur das melden nervt! Was mache ich jetzt mit deiner Info? Einfach nicht melden und 2075 ausfüllen?
Kirk
Da du nicht nach §41 Abs.2 BierStVO braust (siehe obiges Formular), gibt es auch keine vorherige Anzeigepflicht, nur die nachherige Anmeldepflicht per 2075.
Das Formular gibt es hier
Die erste Seite ist immer gleich, einmal ausgefüllt kannst du das fotokopieren und immer wieder verwenden.
Auf der zweiten Seite ist eine Zeile auszufüllen und die Unterschrift zu leisten.
Die dritte Seite bleibt leer und ist den Beamten zum Ausmalen vorbehalten.
Ich mache das nur so - für dieses Jahr sind jede Woche ein Sud geplant, je 20 Liter mit 12° Plato - das macht 50 mal 2075, 50 mal 0,62 Porto, 50 mal 1,06€ überweisen (plus Buchungsgebühren, und 50 mal muss der Zoll meine Akte anfassen. Alles für 53€ Steuereinnahmen.
Ich rechne immer per 2075 ab, weil ich entweder aushäusig braue oder mit dem gebrauten Bier den örtlichen Kindergarten bespaße (also nicht selbst verbrauche) und sowieso über die 200 Liter komme.
Cheers, Ruthard
Wir könnten viel, wenn wir zusammenstünden (F.Schiller in Wilhelm Tell)
- Ruthard
- Posting Freak

- Beiträge: 7629
- Registriert: Sonntag 26. Februar 2012, 21:07
- Wohnort: 1443 Wine Country Drive 2335 Rothbury Australia
- Kontaktdaten:
Re: Mein Zollbescheid 2015
Gütiger Gott! Wo in aller Welt steht was von einer Voranmeldung für die 2075?Kirk1701 hat geschrieben:Naja,
es könnte ja die Frage kommen wo denn die Voranmeldung zum Fromular 2075 ist![]()
Kirk
Cheers, Ruthard
Wir könnten viel, wenn wir zusammenstünden (F.Schiller in Wilhelm Tell)
- Kirk1701
- Posting Freak

- Beiträge: 3549
- Registriert: Montag 30. November 2009, 00:49
- Wohnort: Hannover
Re: Mein Zollbescheid 2015
Ich glaube ich lese mir das morgen nochmal durch....bin etwas von dem Comet geschwächt.
Eine Frage noch, was kreuzt du denn bei 2075 unter 3. an??
Kirk
Wir machen selber Bier!
Mein Kanal , Sudhaus Schwülper - zum Blog sponsored by Adam´s Hardware - Das Original Darf gerne von B- und C- Hardware kopiert werden.
Mein Kanal , Sudhaus Schwülper - zum Blog sponsored by Adam´s Hardware - Das Original Darf gerne von B- und C- Hardware kopiert werden.
- Rumpelstilzchen
- Posting Klettermax

- Beiträge: 297
- Registriert: Samstag 8. September 2012, 00:15
Re: Mein Zollbescheid 2015
Servus,
nach Vorgabe "meiner" Sachbearbeiterin im HZA: "Brauen ohne Erlaubnis"
genauer:
§ 14 Abs. 4 Nr. 2 BierStG
(Herstellung ohne Erlaubnis)
Tschau,
Rumpelstilzchen
nach Vorgabe "meiner" Sachbearbeiterin im HZA: "Brauen ohne Erlaubnis"
genauer:
§ 14 Abs. 4 Nr. 2 BierStG
(Herstellung ohne Erlaubnis)
Tschau,
Rumpelstilzchen
- Kirk1701
- Posting Freak

- Beiträge: 3549
- Registriert: Montag 30. November 2009, 00:49
- Wohnort: Hannover
Re: Mein Zollbescheid 2015
Unter Punkt 3 der Eingangsbestätigung!Brauwolf hat geschrieben:Gütiger Gott! Wo in aller Welt steht was von einer Voranmeldung für die 2075?Kirk1701 hat geschrieben:Naja,
es könnte ja die Frage kommen wo denn die Voranmeldung zum Fromular 2075 ist![]()
Kirk
Cheers, Ruthard
Jeder einzelne Herstellungsvorgang....
Mit dem Kommentar unter Punkt 4
Kirk
Wir machen selber Bier!
Mein Kanal , Sudhaus Schwülper - zum Blog sponsored by Adam´s Hardware - Das Original Darf gerne von B- und C- Hardware kopiert werden.
Mein Kanal , Sudhaus Schwülper - zum Blog sponsored by Adam´s Hardware - Das Original Darf gerne von B- und C- Hardware kopiert werden.
- Ruthard
- Posting Freak

- Beiträge: 7629
- Registriert: Sonntag 26. Februar 2012, 21:07
- Wohnort: 1443 Wine Country Drive 2335 Rothbury Australia
- Kontaktdaten:
Re: Mein Zollbescheid 2015
Genau,Rumpelstilzchen hat geschrieben:Servus,
nach Vorgabe "meiner" Sachbearbeiterin im HZA: "Brauen ohne Erlaubnis"![]()
genauer:
§ 14 Abs. 4 Nr. 2 BierStG
(Herstellung ohne Erlaubnis)
Tschau,
Rumpelstilzchen
"Herstellung ohne Erlaubnis" = linke Spalte, 2. Feld von oben.
Das hört sich bedrohlich an, das heißt aber nur, dass du kein Steuerlager hast - was du auch nicht brauchst.
Cheers, Ruthard
Wir könnten viel, wenn wir zusammenstünden (F.Schiller in Wilhelm Tell)
- Kirk1701
- Posting Freak

- Beiträge: 3549
- Registriert: Montag 30. November 2009, 00:49
- Wohnort: Hannover
Re: Mein Zollbescheid 2015
Genau,Brauwolf hat geschrieben:Genau,Rumpelstilzchen hat geschrieben:Servus,
nach Vorgabe "meiner" Sachbearbeiterin im HZA: "Brauen ohne Erlaubnis"![]()
genauer:
§ 14 Abs. 4 Nr. 2 BierStG
(Herstellung ohne Erlaubnis)
Tschau,
Rumpelstilzchen
"Herstellung ohne Erlaubnis" = linke Spalte, 2. Feld von oben.
Das hört sich bedrohlich an, das heißt aber nur, dass du kein Steuerlager hast - was du auch nicht brauchst.
Cheers, Ruthard
trotzdem wird unter 3. der Eingansbestätigung verlangt jeden Sud vorab anzumelden
Kirk
Wir machen selber Bier!
Mein Kanal , Sudhaus Schwülper - zum Blog sponsored by Adam´s Hardware - Das Original Darf gerne von B- und C- Hardware kopiert werden.
Mein Kanal , Sudhaus Schwülper - zum Blog sponsored by Adam´s Hardware - Das Original Darf gerne von B- und C- Hardware kopiert werden.
- Ruthard
- Posting Freak

- Beiträge: 7629
- Registriert: Sonntag 26. Februar 2012, 21:07
- Wohnort: 1443 Wine Country Drive 2335 Rothbury Australia
- Kontaktdaten:
Re: Mein Zollbescheid 2015
verf...te Sch...e, das gilt nur für Sude für die du eine Steuerbefreiung in Anspruch nehmen willst!Kirk1701 hat geschrieben:Unter Punkt 3 der Eingangsbestätigung!Brauwolf hat geschrieben:Gütiger Gott! Wo in aller Welt steht was von einer Voranmeldung für die 2075?Kirk1701 hat geschrieben:Naja,
es könnte ja die Frage kommen wo denn die Voranmeldung zum Fromular 2075 ist![]()
Kirk
Cheers, Ruthard
Jeder einzelne Herstellungsvorgang....
Mit dem Kommentar unter Punkt 4![]()
Kirk
Das kannst du sowieso nicht, weil du aushäusig braust - deshalb 2075 nach dem Brauen
Cheers, Ruthard
(der es Leid ist, alten Weibern über die Straße zu helfen, die gar nicht rüber wollen)
Wir könnten viel, wenn wir zusammenstünden (F.Schiller in Wilhelm Tell)
- Kirk1701
- Posting Freak

- Beiträge: 3549
- Registriert: Montag 30. November 2009, 00:49
- Wohnort: Hannover
Re: Mein Zollbescheid 2015
Warum weiß dieses das HZA nicht?
Ich melde mich morgen wieder zu dem Thema, Schnurzel Purzel....
Kirk
Ich melde mich morgen wieder zu dem Thema, Schnurzel Purzel....
Kirk
Wir machen selber Bier!
Mein Kanal , Sudhaus Schwülper - zum Blog sponsored by Adam´s Hardware - Das Original Darf gerne von B- und C- Hardware kopiert werden.
Mein Kanal , Sudhaus Schwülper - zum Blog sponsored by Adam´s Hardware - Das Original Darf gerne von B- und C- Hardware kopiert werden.
- Ruthard
- Posting Freak

- Beiträge: 7629
- Registriert: Sonntag 26. Februar 2012, 21:07
- Wohnort: 1443 Wine Country Drive 2335 Rothbury Australia
- Kontaktdaten:
Re: Mein Zollbescheid 2015
Weil sie mich nicht gefragt haben.Kirk1701 hat geschrieben:Warum weiß dieses das HZA nicht?
Cheers, Ruthard
Wir könnten viel, wenn wir zusammenstünden (F.Schiller in Wilhelm Tell)
Re: Mein Zollbescheid 2015
Herstellung ohne Erlaubnis habe letztes Jahr komplett bei der Zoll gemacht, war ganz einfach ohne problem ! Einfach die 2075 ausfüllen nach die brautag, bezahlen und ende !
Brauwolf hat geschrieben:Genau,Rumpelstilzchen hat geschrieben:Servus,
nach Vorgabe "meiner" Sachbearbeiterin im HZA: "Brauen ohne Erlaubnis"![]()
genauer:
§ 14 Abs. 4 Nr. 2 BierStG
(Herstellung ohne Erlaubnis)
Tschau,
Rumpelstilzchen
"Herstellung ohne Erlaubnis" = linke Spalte, 2. Feld von oben.
Das hört sich bedrohlich an, das heißt aber nur, dass du kein Steuerlager hast - was du auch nicht brauchst.
Cheers, Ruthard
- Jorgl
- Posting Senior

- Beiträge: 459
- Registriert: Mittwoch 14. November 2012, 15:10
- Wohnort: Ostallgäu
Re: Mein Zollbescheid 2015
Manchmal sieht Mann den Wald vor lauter Bäume nicht 
Grüße
Jürgen
Der beste Brauer macht einmal schlechtes Bier
Jürgen
Der beste Brauer macht einmal schlechtes Bier
-
Braubär23858
- Posting Klettermax

- Beiträge: 256
- Registriert: Freitag 17. Oktober 2014, 20:26
- Wohnort: 23858 Reinfeld
Re: Mein Zollbescheid 2015
Dasselbe Schreiben ist wohl - vom HZA Kiel - an alle möglichen Hobbybrauer, die in 2014 angemeldet hatten, herausgegangen - ob sie einen Sud in 2015 angemeldet hatten, oder nicht.
Ich hatte 2075 für 2014 ausgefüllt und weggeschickt und Steuer überwiesen. Tatsächlich hat sich jemand vom HZA nach drei Tagen gemeldet und bemängelt, dass meine Unterschrift fehle .....
Für 188 Liter bzw 7,50 Euro (oder so).
VG Peter
Ich hatte 2075 für 2014 ausgefüllt und weggeschickt und Steuer überwiesen. Tatsächlich hat sich jemand vom HZA nach drei Tagen gemeldet und bemängelt, dass meine Unterschrift fehle .....
Für 188 Liter bzw 7,50 Euro (oder so).
VG Peter
- Hesse
- Posting Freak

- Beiträge: 1290
- Registriert: Samstag 7. Juli 2012, 15:28
- Wohnort: City of Frankfurt / Hessen
Re: Mein Zollbescheid 2015
Wieee, das 2075 für 2014 ausgefüllt.Braubär23858 hat geschrieben:Dasselbe Schreiben ist wohl - vom HZA Kiel - an alle möglichen Hobbybrauer, die in 2014 angemeldet hatten, herausgegangen - ob sie einen Sud in 2015 angemeldet hatten, oder nicht.
Ich hatte 2075 für 2014 ausgefüllt und weggeschickt und Steuer überwiesen. Tatsächlich hat sich jemand vom HZA nach drei Tagen gemeldet und bemängelt, dass meine Unterschrift fehle .....![]()
Für 188 Liter bzw 7,50 Euro (oder so).
VG Peter
Dieses Formblatt musst Du für jeden einzelnen Sud ausfüllen, abschicken und sofort überweisen, sofern Du nicht unter die 200Ltr. Bestimmung fällst.
Guten Sud
Henner
___________________
Mal bin ich Hund, mal bin ich Baum
Henner
___________________
Mal bin ich Hund, mal bin ich Baum
Re: Mein Zollbescheid 2015
Ich habe meine Bestätigen vor zwei Tage bekommen, sieht genau so aus wie im ersten Post ... und das bei HZA Darmstadt !!!
Wer hätte es gedacht?
Cheers,
Keith :-)
Cheers,
Keith :-)
Beer - the only reason I get up in the afternoon
Re: Mein Zollbescheid 2015
Ich habe das Schreiben vom HZA Kiel sogar doppelt im Briefkasten gehabt. :-)
Gruß
Krügge
Gruß
Krügge
Re: Mein Zollbescheid 2015
Das HZA DA hatte schon letztes Jahr es so gehandhabt. Hattest du mit denen schon Probleme?Neubierig hat geschrieben:Ich habe meine Bestätigen vor zwei Tage bekommen, sieht genau so aus wie im ersten Post ... und das bei HZA Darmstadt !!!Wer hätte es gedacht?
Cheers,
Keith :-)
- tauroplu
- Posting Freak

- Beiträge: 13983
- Registriert: Sonntag 23. Oktober 2005, 18:04
- Wohnort: 58453 Witten
- Kontaktdaten:
Re: Mein Zollbescheid 2015
@Keith: Hey, dann kannst Du ja die doppelte Menge brauen 
Beste Grüße
Michael
„Lass die anderen mit Fichten- und Tannensprossen würzen, der Hopfen ist das Beste, was die Natur uns bietet.“
Aus "Das Erbe des Bierzauberers" von Günther Thömmes, Gmeiner Verlag
Michael
„Lass die anderen mit Fichten- und Tannensprossen würzen, der Hopfen ist das Beste, was die Natur uns bietet.“
Aus "Das Erbe des Bierzauberers" von Günther Thömmes, Gmeiner Verlag
- Dr Huppertz
- Posting Freak

- Beiträge: 921
- Registriert: Montag 23. April 2012, 07:45
Re: Mein Zollbescheid 2015
Hat jemand aus Münster schon Rückmeldung erhalten? Meines Wissens nach ist die Abteilung Verbrauchssteuern im Moment nicht besetzt,das stapelt sich da wohl.
Grüße,
Günther
Grüße,
Günther
-
FrankIbb
- Posting Freak

- Beiträge: 719
- Registriert: Donnerstag 6. Januar 2011, 22:33
- Wohnort: Ibbenbüren
Re: Mein Zollbescheid 2015
Ich hatte letztes Jahr Anfang Januar vom HZA Münster die Mitteilung erhalten, daß ich als Hobbybrauer registriert sei und mich nicht jedes Jahr melden muß.
Also melde ich nicht und erwarte auch nicht unbedingt eine Rückmeldung
Also melde ich nicht und erwarte auch nicht unbedingt eine Rückmeldung
Gruß,
Frank
Frank
- Dr Huppertz
- Posting Freak

- Beiträge: 921
- Registriert: Montag 23. April 2012, 07:45
Re: Mein Zollbescheid 2015
Ok, ich hatte letztes Jahr nämlich gar nichts mehr gehört. dann lass ich das auch mal brav sein und ärgere die Kollegen nicht.FrankIbb hat geschrieben:Ich hatte letztes Jahr Anfang Januar vom HZA Münster die Mitteilung erhalten, daß ich als Hobbybrauer registriert sei und mich nicht jedes Jahr melden muß.
Also melde ich nicht und erwarte auch nicht unbedingt eine Rückmeldung
-
FrankIbb
- Posting Freak

- Beiträge: 719
- Registriert: Donnerstag 6. Januar 2011, 22:33
- Wohnort: Ibbenbüren
Re: Mein Zollbescheid 2015
ZITAT :
Sehr geehrter Herr XXXXXXXXXXX,
Sie sind hier erfasst und müssen sich nicht jedes Jahr melden. Es genügt, wenn Sie die Daten über die Herstellung ebenso wie die Belege über den Bezug der Zubereitungen oder der Braustoffe sammeln und nach Ablauf des Kalenderjahres ein Jahr lang aufbewahren. Über 200 Liter hinausgehende Mengen sind bei mir zu versteuern.
Mit freundlichen Grüßen
Im Auftrag
XXXXXXXXXXXX
XXXXXXXXXXXX
Hauptzollamt Münster
Linus-Pauling-Weg 1-5
48155 Münster
Sehr geehrter Herr XXXXXXXXXXX,
Sie sind hier erfasst und müssen sich nicht jedes Jahr melden. Es genügt, wenn Sie die Daten über die Herstellung ebenso wie die Belege über den Bezug der Zubereitungen oder der Braustoffe sammeln und nach Ablauf des Kalenderjahres ein Jahr lang aufbewahren. Über 200 Liter hinausgehende Mengen sind bei mir zu versteuern.
Mit freundlichen Grüßen
Im Auftrag
XXXXXXXXXXXX
XXXXXXXXXXXX
Hauptzollamt Münster
Linus-Pauling-Weg 1-5
48155 Münster
Gruß,
Frank
Frank
- Kirk1701
- Posting Freak

- Beiträge: 3549
- Registriert: Montag 30. November 2009, 00:49
- Wohnort: Hannover
Re: Mein Zollbescheid 2015
Hallo Frank,
sorry, wo kommt denn jetzt dein Zitat her?
Du sollst die Rechnungen für Hopfen und Malz ein Jahr aufbewahren??
Kirk
sorry, wo kommt denn jetzt dein Zitat her?
Du sollst die Rechnungen für Hopfen und Malz ein Jahr aufbewahren??
Kirk
Wir machen selber Bier!
Mein Kanal , Sudhaus Schwülper - zum Blog sponsored by Adam´s Hardware - Das Original Darf gerne von B- und C- Hardware kopiert werden.
Mein Kanal , Sudhaus Schwülper - zum Blog sponsored by Adam´s Hardware - Das Original Darf gerne von B- und C- Hardware kopiert werden.
-
FrankIbb
- Posting Freak

- Beiträge: 719
- Registriert: Donnerstag 6. Januar 2011, 22:33
- Wohnort: Ibbenbüren
Re: Mein Zollbescheid 2015
Hallo Kirk,
das Zitat ist die email vom HZA von Anfang 2014 die ich bekommen habe. Diese Vorgehensweise gilt also für MICH.
Wie Du weißt, macht es jedes HZA etwas anders. Ich denke, meine Lösung ist gut für das HZA und für mich, da wir beide weniger Aufwand haben.
Die Belege von 2014 muß man bis Ende 2015 aufbewahren. Das war aber schon immer so....
das Zitat ist die email vom HZA von Anfang 2014 die ich bekommen habe. Diese Vorgehensweise gilt also für MICH.
Wie Du weißt, macht es jedes HZA etwas anders. Ich denke, meine Lösung ist gut für das HZA und für mich, da wir beide weniger Aufwand haben.
Die Belege von 2014 muß man bis Ende 2015 aufbewahren. Das war aber schon immer so....
Gruß,
Frank
Frank
- Dr Huppertz
- Posting Freak

- Beiträge: 921
- Registriert: Montag 23. April 2012, 07:45
Re: Mein Zollbescheid 2015
Das ist mit verlaub Quatsch. Da gibts keine Rechtsgrundlage für. Mach ich nicht.
Ups, jetzt gehts doch wieder los, der Zoll thread 2015 ist im vollen Gange!
Ups, jetzt gehts doch wieder los, der Zoll thread 2015 ist im vollen Gange!
- Kirk1701
- Posting Freak

- Beiträge: 3549
- Registriert: Montag 30. November 2009, 00:49
- Wohnort: Hannover
Re: Mein Zollbescheid 2015
Gerade dachte ich noch das es nun einheitlich wird mit dem Formular 2070
Kirk
Kirk
Wir machen selber Bier!
Mein Kanal , Sudhaus Schwülper - zum Blog sponsored by Adam´s Hardware - Das Original Darf gerne von B- und C- Hardware kopiert werden.
Mein Kanal , Sudhaus Schwülper - zum Blog sponsored by Adam´s Hardware - Das Original Darf gerne von B- und C- Hardware kopiert werden.
