Ich habe mir die Mühe gemacht die Plato-Tabelle durchzuackern und sie ein wenig aufpoliert.
Im Gegenzug habe ich ein bischen programmieren gelernt und ein par Formeln erhalten.
Damit es nicht zu trocken wird gibt's vorher eine kleine Fragerunde (Auflösung weiter unten).
Was meint ihr, was stimmt?
Bitte richtige Aussagen ankreuzen:
Code: Alles auswählen
1. [ ] Jeder Hobbybrauer muss die Platotabelle kennen.
2. [ ] Die Tabelle listet Messwerte der Würze in verschiedenen Grössen.
3. [ ] Die Tabelle enthält die Werte der Dichte.
4. [ ] Die Tabelle enthält die Werte des Alkoholgehalts.
5. [ ] Die Tabelle enthält Werte, die zueinander nicht redundant sind (es werden alle Werte benötigt).
6. [ ] Die Tabelle ist korrekt.
7. [ ] Die Tabelle ist einfach zu verstehen.Zuerst die Tabelle aus dem Wiki.
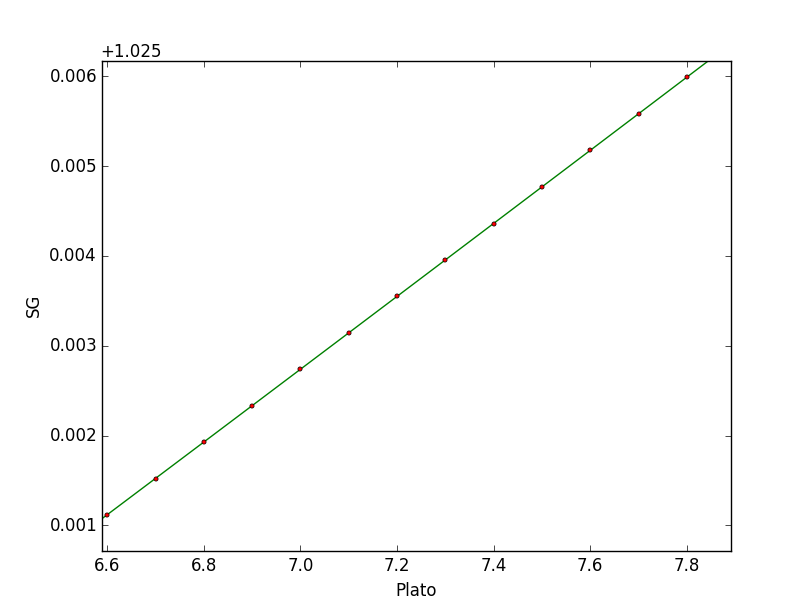
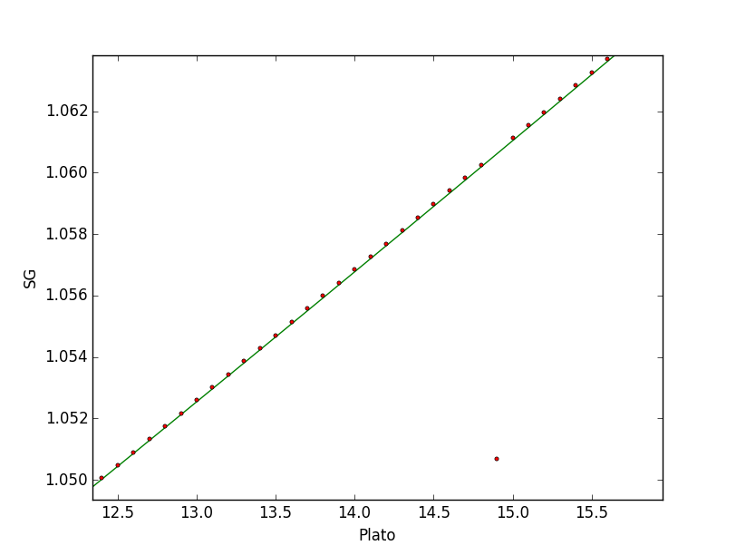
Mit den Werten aus der Tabelle kann man Formeln (Polynome) ermitteln.
Der resultierende Graf ist in den Abbildungen als grüne Linie dargestellt.
Die Messwerte sind die roten Punkte. Da haben sich zwei Fehler eingeschlichen.
Der Graf der Formel wird in Richtung der falschen Werte gezogen. Diagnose: Ein Vampirzahn und eine Zahnlücke
Polierte respektive korrigierte SL20/20 (alias SG) Werte:
Code: Alles auswählen
# [ 1.03936, 7.40, 7.60, 7.32 ], Falscher Wert!
[ 1.02936, 7.40, 7.60, 7.32 ], # Korrigierter Wert
# [ 1.05069, 14.90, 15.78, 15.17 ], Falscher Wert!
[ 1.06069, 14.90, 15.78, 15.17 ], # Korrigierter Wert
Ermittelte Formeln:
Code: Alles auswählen
# sg=f(plato)
def pol_plato_to_sg(x):
return 1.00001624e+00 + \
3.86827404e-03 * x + \
1.27008512e-05 * x ** 2 + \
6.47776336e-08 * x ** 3
Code: Alles auswählen
# plato=f(sg)
def pol_sg_to_plato(x):
return -611.42611212 + \
1095.54352295 * x + \
-615.37912267 * x ** 2 + \
131.25736754 * x ** 3Code: Alles auswählen
# plato=f(sg*plato)
def pol_sg_plato_to_plato(x):
return 1.85601171e-04 + \
9.99793104e-01 * x + \
-3.82474279e-03 * x ** 2 + \
1.37050445e-05 * x ** 3Die Formel ein weing umgestellt ergibt:http://morebeer.com/brewingtechniques/l ... nning.html
The weight of extract, WE (as sucrose), per unit volume of solution can be calculated as
WE=degree P/100 SG r [5]
where r is the density of water at the reference temperature for specific gravity.
Code: Alles auswählen
P*SG = WE*100/rAngenommen ich habe 10kg Extrakt pro 100L Würze (10 vol%), wieviel ist das in Plato?
Code: Alles auswählen
plato=pol_sg_plato_to_plato(WE*100/r)Aber, die Dichte von Wasser ist Variabel!
Sie hängt nicht nur von der Temperatur, sondern auch von der Zeit ab.
Stichwort IPTS-68 und ITS-90
Zu welcher Zeit wurden die Plato Tabellen erstellt?
Wer weiss.
Mit dem ITS-90 Wert ergibt sich:
Code: Alles auswählen
In [1]: d_h2o_20_its_90
Out[1]: 0.998203
In [2]: pol_sg_plato_to_plato(10.0/100.0*100.0/d_h2o_20_its_90)
Out[2]: 9.64604185578647Die entsprechnden Einträge in der Platotabelle:
2. Spalte ist Plato, 3. Spalte ist %vol
Code: Alles auswählen
[ 1.03837, 9.60, 9.95, 9.57 ],
[ 1.03880, 9.70, 10.06, 9.68 ],Ps: Danke an Oli für die letzten zwei Links.
Dann habe ich noch diese Tabelle gefunden:
Schwieriger zu transkribieren und zu korrigieren.
Veranschaulicht: Diagnose: Zahnspannge benötigt
Korrigierte SL20/20 (alias SG) Werte
Code: Alles auswählen
[ 1.02329, 5.9, 6.03, 5.79 ], # ???
[ 1.05897, 14.5, 15.33, 14.72 ], # ???
[ 1.06241, 15.3, 16.22, 15.57 ], # ???
[ 1.06370, 15.6, 16.56, 15.90 ], # ???
[ 1.06672, 16.3, 17.36, 16.67 ], # ???
[ 1.06977, 17.0, 18.15, 17.42 ], # ???
[ 1.07107, 17.3, 18.50, 17.76 ], # ???
[ 1.07370, 17.9, 19.18, 18.41 ], # ???Die Grenze zwischen Korrektur und Manipulation ist hier nicht klar.
Ich hoffe das Erstere ist der Fall.
Ermittelte Formeln:
Code: Alles auswählen
# sg=f(plato)
def pol2_plato_to_sg(x):
return 1.00001576e+00 + \
3.86788020e-03 * x + \
1.27600689e-05 * x ** 2 + \
6.26940739e-08 * x ** 3Code: Alles auswählen
# plato=f(sg)
def pol2_sg_to_plato(x):
return -619.27526997 + \
1118.23469217 * x + \
-637.23504817 * x ** 2 + \
138.27142438 * x ** 3Code: Alles auswählen
# plato=f(sg*plato)
def pol2_sg_plato_to_plato(x):
return 1.86330390e-04 + \
9.99794236e-01 * x + \
-3.82481650e-03 * x ** 2 + \
1.37060306e-05 * x ** 3Und noch die Auflösung der Fragen (Oder auch: Meine Meinung):
Code: Alles auswählen
1. [ ] Jeder Hobbybrauer muss die Platotabelle kennen.
- Nein, die verfügbaren Programme leisten gute Dienste.
Wer aber nicht weiss was die Werte bedeuten zieht den Kürzeren
2. [ ] Die Tabelle listet Messwerte der Würze in verschiedenen Grössen.
- Nein, die Tabelle listet Messwerte einer Wasser-Zucker Lösung.
3. [ ] Die Tabelle enthält die Werte der Dichte.
- Nein die relativen Dichten, SL20/20 sind gelistet.
4. [ ] Die Tabelle enthält die Werte des Alkoholgehalts.
- Nein, es lässt sich aber die Menge des Extraktes berechnen.
Daraus lässt sich der potentielle Alkoholgehalt errechnen (für die Biersteuer).
5. [ ] Die Tabelle enthält Werte, die zueinander nicht redundant sind (es werden alle Werte benötigt).
- Nein, Spalte 3 und 4 sind ableitbare Werte
6. [ ] Die Tabelle ist korrekt.
- Ich denke nicht, dass die Tabelle falsch ist.
Es wurden wahrscheinlich Fehler bei der Übertragung gemacht.
In dem Sinne sind die verlinkten Tabellen nicht korrekt.
7. [ ] Die Tabelle ist einfach zu verstehen.
- Klar doch!
- Sechs Formeln zur Plato-Tabelle.
- Verschiedene Werte für die Dichte von Wasser bei 20°C.
Mal sehen, wenn ich die schön in ein Programm verpacke, kommt vieleicht was nützliches dabei heraus...
Gruss
Kolja

